Signals Weekly: ARPA-H backs 34 Lives; Outset files 8-K; OIG wants RPM oversight; Weight-loss surgery vs. GLP-1s; & More
Your weekly collection of news, research, funding & community voices shaping the future of kidney care.
Signals is your weekly collection of news, research, funding and voices shaping the future of kidney care. Starting today, all posts and our full archive are completely free to read, thanks to our sponsors.
This issue is presented by IKONA, the leading VR platform for kidney education & training, designed to support patient education and workforce training in dialysis clinics, practices, and beyond.
🚀 Apply to sponsor SignalsThis week
Poll: ESRD Medicare Advantage enrollment in 2025?
ARPA-H invests up to $44M in kidney availability
OpEd: Dr. Silberzweig discusses the PEAK program
Outset files SEC Form 8-K for Nasdaq listing
Comparing weight-loss surgery vs. GLP-1s
Advanced biomarkers for CKD in older adults
EASi-KIDNEY trial begins recruitment
SeaStar sees momentum in pivotal AKI trial
Can nanoparticles better detect kidney disease?
The OIG says we need more oversight on RPM
& More…
Medicare Advantage
Each week I send out a LinkedIn poll on topics impacting the kidney community. Last week— following multiple headlines and reports on Medicare Advantage enrollment in ESRD— I asked for your best guess on “what percentage (%) of dialysis beneficiaries will be enrolled in Medicare Advantage plans by 2025?”
The vast majority of respondents (8 in 10) said it will be "> 50%”
Half of respondents said the answer is “> 60%”
Nearly a quarter said “> 70%”
Signals
ARPA-H project seeks to transform donor kidney availability
The Advanced Research Projects Agency for Health (ARPA-H), an agency within the U.S. Department of Health and Human Services (HHS), announced it will fund up to $44 million in the No Kidney Left Behind project over the next 5 years. This effort seeks to ensure the viability for successful transplant of the thousands of kidneys lovingly donated each year. 34 Lives, the public benefit corporation leading the No Kidney Left Behind project, plans to develop and scale a comprehensive process to restore donated kidney viability. By first enhancing cold (hypothermic) strategies and then refining this approach with a warm (normothermic) preservation method, the project aims to recover organ function in real-time, keeping more kidneys viable longer for transplantation. If successful, the resulting biomarker assessments, artificial intelligence prediction tools, and warm perfusion technology may be able to be extended to other transplantable organs.
We Need to Act Earlier to Address the Silent Crisis of Kidney Disease, Inadequate Federal Support
Jeffrey Silberzweig, MD, chief medical officer and vice president for Hospital Services at The Rogosin Institute, wrote this commentary published in the American Journal of Managed Care® (AJMC). Dr. Silberzweig discusses the PEAK program, designed to prevent kidney disease progression by providing education, support, and healthcare navigation for at-risk individuals, particularly within Black and Hispanic communities. The program has helped 50% of its patients transition to outpatient dialysis with improved outcomes, but faces sustainability challenges due to inadequate federal funding. The Chronic Kidney Disease Improvement in Research and Treatment Act of 2023 (H.R. 5027/S. 4469) aims to enhance access to kidney education and early detection, addressing gaps in care.
Outset Medical Inc. filed SEC Form 8-K
Outset Medical, a company known for its innovative Tablo Hemodialysis System, has filed an 8-K with the SEC, disclosing that it no longer meets Nasdaq's minimum bid price requirement for continued listing. According to the filing, Outset has until March 2025 to regain compliance by achieving a closing bid price of $1.00 per share for at least 10 consecutive business days. This notice does not immediately affect the company's Nasdaq listing, and Outset plans to continue working towards maintaining its listing. This development adds to the financial challenges Outset Medical has faced as it continues to navigate the complex kidney care technology landscape. Recall Outset continues to be the only TPNIES approved device, the FDA’s add-on payment for the use of innovative dialysis technologies.
St. Paul’s Hospital Foundation launches $10M kidney care program
St. Paul's Hospital Foundation in British Columbia is launching a new campaign aimed at supporting those living with or at risk of developing chronic kidney disease. The $10-million By Your Side Kidney Care Campaign focuses on three key areas: (a) the delivery of early screening programs in communities with a high risk of chronic kidney disease (CKD); (b) the support of holistic care services at St. Pauls’ Hospital, including an Indigenous healing center and a pilot patient porter system; and (c) the construction of a kidney health and education center that includes a transition program, to both streamline and expand kidney health care and services at St. Paul’s Hospital.
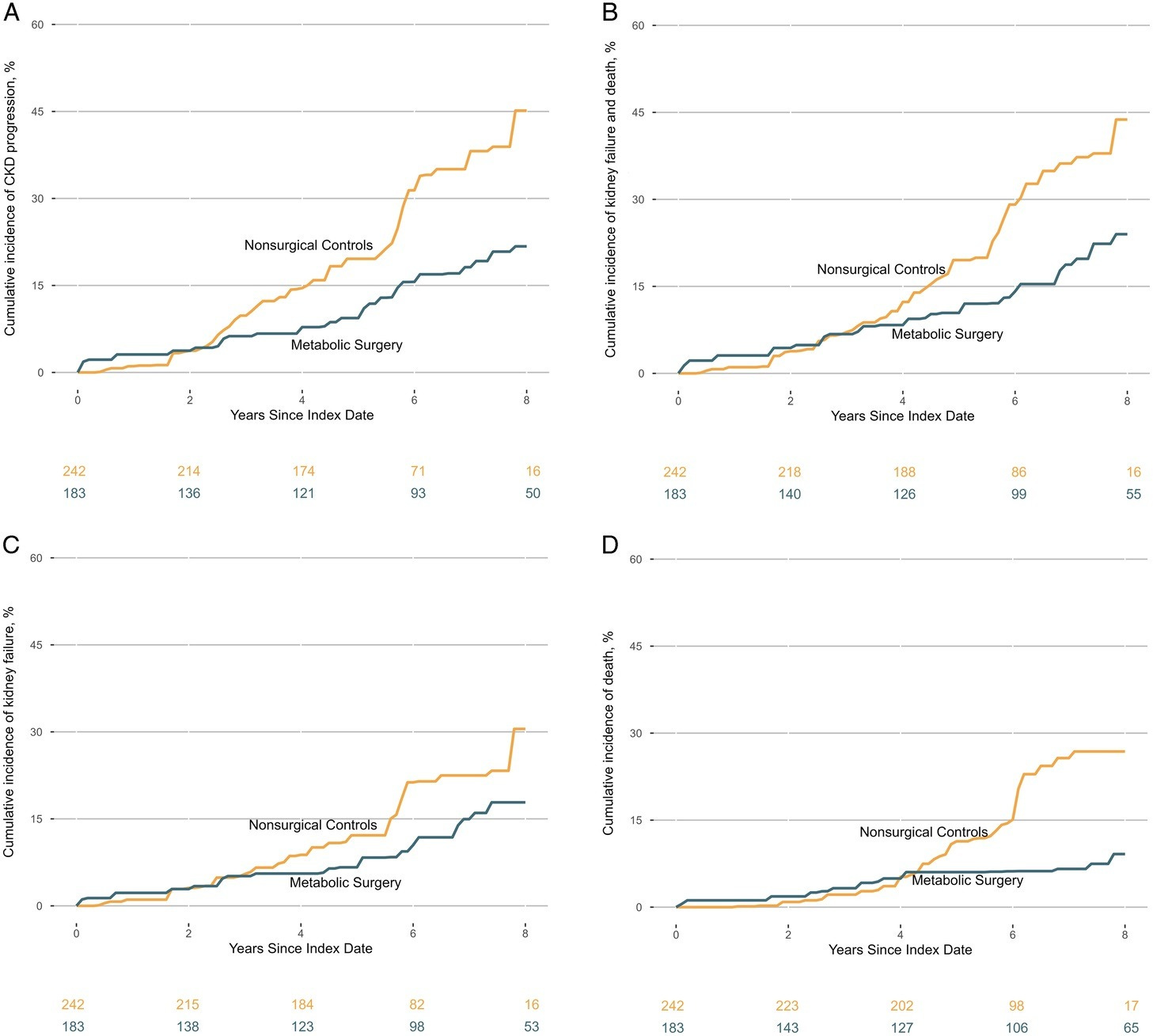
Weight-loss surgery may preserve kidney health more effectively than GLP-1 drugs
In a new study from Cleveland Clinic, people with obesity, diabetes, and chronic kidney disease were less likely to see their kidney disease advance after bariatric surgery compared to people treated with GLP-1 drugs. In the study, individuals treated with bariatric surgery had a 60% lower risk of the progression of kidney impairment, and a 44% lower risk of kidney failure or death. The study involved 425 participants. Of these, 183 received surgery, while 242 received GLP-1 diabetes drugs, which also promote weight loss. Participants were followed for a median of 5.8 years.
A Comprehensive Review of Advanced Biomarkers for Chronic Kidney Disease in Older Adults
Chronic kidney disease (CKD) is a growing concern, particularly among older adults, due to its high prevalence and links to increased risk of complications like cardiovascular events and end-stage renal disease (ESRD). Traditional biomarkers, such as serum creatinine and eGFR, often miss early signs of kidney dysfunction in the elderly. This review highlights advanced biomarkers that provide deeper insights into inflammation, fibrosis, oxidative stress, and tubular injury, offering a more precise diagnosis and management of CKD in older populations. The review also explores new technologies, like multi-omics and machine learning, that could transform CKD detection and treatment, though further research and standardization are needed.
Largest kidney disease trial of it's kind begins in Oxford
The first people have been recruited in Oxford for a new global clinical trial into a treatment which could slow chronic kidney disease. This trial, EASi-KIDNEY, will build on positive research from the group from previous trials in Oxford. That trial, (EMPA-KIDNEY) led by researchers at Oxford Population Health, demonstrated that empagliflozin reduces the risk of kidney disease progression or death from cardiovascular disease by 28% in patients with CKD with and without diabetes. EASi-KIDNEY will involve vicadrostat and empagliflozin. If you would be interested in joining you can find out more here.
"We're aiming for 11,000 people across 15 to 20 countries and we'll need at least 400 hospitals to work with us, and they'll be 50 across the UK."
SeaStar sees enrollment momentum in its pivotal adult AKI trial
SeaStar announced the enrollment of four additional subjects in a 10-day period in its pivotal NEUTRALIZE-AKI trial, bringing total trial enrollment to 46. This trial is evaluating the safety and efficacy of SeaStar Medical’s therapeutic Selective Cytopheretic Device (SCD) in adults with acute kidney injury (AKI) in the intensive care unit (ICU) receiving continuous kidney replacement therapy (CKRT). The trial’s primary endpoint is a composite of 90-day mortality or dialysis dependency of patients treated with SCD in addition to CKRT as the standard of care, compared with the control group receiving only CKRT standard of care.
Nanoparticles could detect kidney disease better than blood tests
Researchers from UT Dallas discovered that X-rays of the kidneys using gold nanoparticles as a contrast agent might be more accurate in detecting kidney disease than standard laboratory blood tests. Based on their study in mice, they also found that caution may be warranted in employing renal-clearable nanomedicines to patients with compromised kidneys. With the increasing use of engineered nanoparticles to deliver payloads of drugs or imaging agents to the body, an important question is how the nanoparticles’ movement and elimination through the kidney is affected by kidney damage.
Can traditional biomarkers like BUN and Cr accurately predict how well — or how poorly — such nanoparticles will move through the kidneys?
Additional Oversight of Remote Patient Monitoring in Medicare Is Needed
The U.S. Department of Health and Human Services (OIG) recently published a report calling for greater oversight of remote patient monitoring (RPM) in Medicare. Between 2019 and 2022, the use of RPM surged by more than 10x, but findings revealed that 43% of enrollees did not receive all necessary components of monitoring. There are concerns about billing, fraud, and lack of critical oversight data—such as the provider who ordered the monitoring. The OIG recommends CMS implement safeguards, improve billing transparency, and monitor companies using RPM.
Another article points out about 28% of enrollees either didn’t receive education about how to use their device or didn’t receive support setting it up, while 23% of enrollees weren’t recorded having a connected device. Further, 12% percent of patients didn’t receive treatment management, suggesting they might not be receiving the full benefits of remote patient monitoring, or the service wasn’t necessary.
Apple just became the first company to receive FDA authorization for over-the-counter hearing aid software.
The FDA just approved a hearing aid feature for Apple’s AirPods Pro, making Apple the first company to receive over-the-counter (OTC) hearing aid software authorization. With this new feature, users with mild to moderate hearing loss can self-fit their earbuds to boost certain sounds after performing a hearing test at home. Apple’s move opens the door for more companies to bring hearing aid software to the market, which could drive competition in the OTC hearing aid space.
This one is worth reading for anyone curious about how everyday devices like earbuds are becoming more integrated into personal health management, especially in these nascent OTC markets. In the two years since FDA authorized hearing aids to be sold OTC, we’ve seen Sony and Lexie start selling devices for $999, while other players like Lucid and HP have rolled out offerings at lower price points.
Community Voices
A collection of insights, opinions, updates and upcoming events from your peers and fellow explorers across the Kidneyverse.
📬 Submit your updates here.Halle Tecco and Michael Esquivel interviewed FTC Chair Lina Khan about competition and consolidation in healthcare on their latest episode of the Heart of Healthcare Podcast. Listen on Spotify and Apple.
Michele Josue and Carlo Velayo shared the stories of courageous filipino nurses at the recent ANNA Fall Summit.
At the PAL Annual Forum, Ben Hippen discussed the Improving Organ Transplant Access (IOTA) rule during this weekend’s RPA Transplant Update Panel along with Mona Doshi and Roy Bloom, and moderated by Gary Singer.
In a compelling testimony before the House Energy and Commerce Investigations and Oversight Subcommittee on September 11, 2024, Dr. Jesse Roach, NKF Senior Vice President of Government Relations, delivered a powerful message on behalf of the over 800,000 people living with kidney failure and the nearly 90,000 individuals on the kidney transplant waitlist.
Dashel Prywes, a 12-year-old from Tenafly, NJ wanted to set the record for the tallest Magna-Tiles tower to bring attention to childhood chronic kidney disease, a condition he was diagnosed with at the age of 5. Dashel used more than 2,600 of those tiles to set a Guinness World Record — building a tower that reached more than 50 feet before it tumbled to the ground.
Miriam Godwin: “Checking in from the Northeast Regional headed back to DC from NYC for my brother's wedding. I happen to be sitting next to the sister of someone with IgA Nephropathy. Oldest story in the book: no diagnosis & no opportunities for intervention until it was too late. 2 weeks in the hospital before sending him to outpatient dialysis. Now he's a 38 year old with a fistula sitting on dialysis in Northhampton lost in a transplant system that is inscrutable even to a family of healthcare providers. This just cannot continue to be the story.”
The Kidney Health Initiative’s Patient and Family Partnership Council (PFPC) hosted a mixer on Monday to continue their discussion from their roundtable at the Kidney Innovation Conference in June. The event engaged members of the kidney community to discuss the use of Patient Advisory Boards (PABs) in research and industry. Sign up here to join the next virtual mixer taking place on November 25 at 4:00PM ET.
Renal Support Network (RSN) will host its 31st Annual Kidney Disease Education and Lifestyle Meeting from October 9th-13th, 2024. For over three decades, RSN has hosted this highly regarded event, providing education, resources, and support for people living with kidney disease, their families, and healthcare professionals. This event, aptly named Hope Week, will continue this tradition with a focus on fostering hope and empowerment for those affected by kidney disease.
At CAQH Connect 2024, Monogram Health’s Chief Clinical Officer Amal Agarwal joined a panel discussion with CMS Innovation Center Deputy Director of the Business Services Group Todd Couts and Providence Vice President of Data Partnerships and Informatics Michael Westover. They discussed actionable strategies for navigating the evolution, merits, and complexities of VBC.








Support Signals
Apply to become a Signals sponsor 🚀: We're accepting applications from companies looking to get in front of 12,000+ monthly readers across the Kidneyverse— from industry, academia, investment, advocacy and government.
Kidneyverse Careers Job Board 💼: Explore top job opportunities across kidney care, from startups to established industry players. Whether you're hiring or looking for your next move, Kidneyverse Careers is the place to connect with top talent and cutting-edge companies. Have an open role you want sent out to our community? Submit it here.
Submit News & Tips to the Signals Inbox 📬: Got a story, tip, or update that should be on our radar? Send it our way through the Signals Inbox. Your contributions help shape the conversation and keep the community informed on the latest developments.
Join Signals Live Audio Events 🎙️: Participate in our next monthly Signals Live session on LinkedIn, where we discuss the latest trends, innovations, and news in kidney care. These drop-in audio events offer the chance to engage with industry leaders and share your insights in real time.
###
![Signals From [Space]](https://substackcdn.com/image/fetch/$s_!IXc-!,w_80,h_80,c_fill,f_auto,q_auto:good,fl_progressive:steep,g_auto/https%3A%2F%2Fsubstack-post-media.s3.amazonaws.com%2Fpublic%2Fimages%2F9f7142a0-6602-495d-ab65-0e4c98cc67d4_450x450.png)
![Signals From [Space]](https://substackcdn.com/image/fetch/$s_!lBsj!,e_trim:10:white/e_trim:10:transparent/h_72,c_limit,f_auto,q_auto:good,fl_progressive:steep/https%3A%2F%2Fsubstack-post-media.s3.amazonaws.com%2Fpublic%2Fimages%2F0e0f61bc-e3f5-4f03-9c6e-5ca5da1fa095_1848x352.png)







